某アニメ作品に登場する宇宙空間の戦闘シーンでの「3倍のスピードで接近」の意味について考察してみる。
Figure 1
1.1. 万有引力コンポーネント
まず軌道力学の計算を行うための汎用ライブラリが要る。
3次元剛体(質点も可能)運動計算用のライブラリ「Multibody」と組み合わせて使えるように完全互換のコンポーネントを作る。
Figure 2
Figure 3
1.2. 動作確認:地球低軌道(LEO)モデル
地球低軌道(高度400km)を周回する円軌道のシミュレーションにて、コンポーネントの動作を確認する。
Figure 4
1.1.1. Initial condition
Altitude [km]: 400 (from surface)
絶対座標上の位相位置 [deg]: 0
Speed [m/s]: 7600
1.1.2. time variable input
無し。
初期位置、初期値のみ与え、以降は重力に従って自由運動する。
1.1.3. Simulation time setting
0 – 4500 [s]
1.1.4. Simulation result
結果と共に、結果読み取り、考察を示す。
(1) y – x
ほぼ円軌道を描いて地球低軌道を周回する。
Figure 5
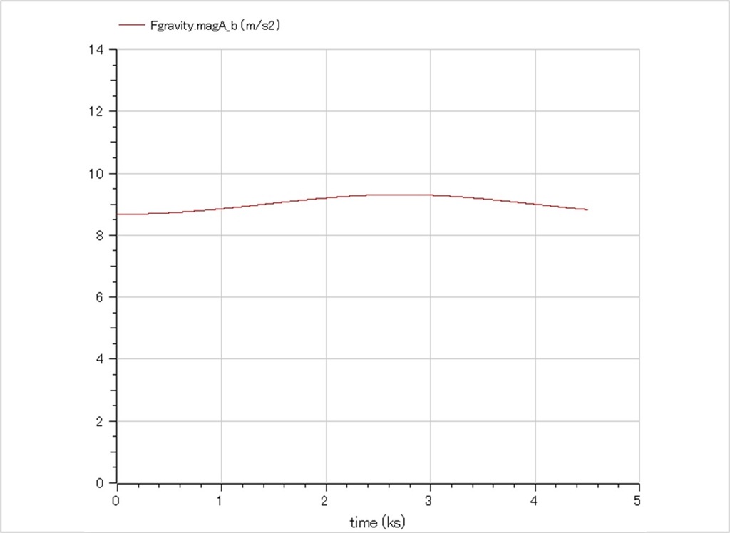
(2) acceleration on spacecraft – time
ほぼ9 m/s2を若干下回る加速度を保つ。
*地表よりも若干重力加速度が小さい。
Figure 6
1.2. 宇宙機の追撃戦闘; white B〇se とMS〇6S(ザ〇)
l 2機の宇宙機に、同対地高度、10[deg]の位相差を持つ位置から軌道航行を開始させる。
l 追撃側の機(MS〇6S)には先行機(white base)の3倍のスピードを与える。
Figure 7
1.2.1. Initial condition
(1) WhiteB〇ses
Altitude [km]: 400 (from surface)
絶対座標上の位相位置 [deg]: 10
Speed [m/s]: 7600
(2) MS〇6S
Altitude [km]: 400 (from surface)
絶対座標上の位相位置 [deg]: 0
Speed [m/s]: 3*7600
1.2.2. time variable input
無し。
初期位置、初期値のみ与え、以降は重力に従って自由運動する。
1.2.3. Simulation time setting
0 – 600 [s] (10 [min])
1.2.4. Simulation result
結果と共に、結果読み取り、考察を示す。
(1) y – x
l 追尾機は明後日の方向に飛び去ってしまう。追撃行動として成立する可能性が低い。
l ただし、後述の通り、2機間の距離は一時的に縮まるので、その短い時間に攻撃を行える可能性は有る。
Figure 8
l 10分後には、追撃機は全くあらぬ位置に遷移してしまう。
l 地球の第2宇宙速度を超えているため、地球から離れて帰ってこない軌道(双曲線軌道)に乗っている。
Figure 9
(2) 2機間の距離 – time
l 全く追撃が成立しないかというと必ずしもそうではなく、2機間の距離が一時的に縮まりはする。
l 最接近距離≒203 [km]。高出力のレーザ兵器ならば攻撃を行える可能性があると考えられる。
l 砲弾方式の兵器では短時間に届く見込みは低い上、軌道上で砲弾は直進しないので、攻撃が成功する可能性は低いと考えられる(* 1)。
l 軌道を効率的に先回りするような誘導兵器ならば、攻撃は十分に可能と考えられる。
Ø しかし、そのような兵装を有しているのであれば、標的に急速接近する必要性自体が無い。
Ø 宇宙世紀の世界では、電磁障害のようなもので誘導兵器がほぼ無力、という設定が有った筈で、その環境を前提とするならば軌道攻撃誘導兵器を考える自体が無意味。
l 鹵獲のために相手に取り付くような接近は不可。
* 1: 衛星から衛星への機関砲の射撃は実際に試験された事があり、距離や相対速度次第で、砲弾を中てる事自体は不可能ではない。
Figure 10
(3) 距離の微分(d(2機間距離)/dt) – time
l 時刻80[s]付近で急接近を果たし、値が負から正に反転。
Figure 11
1.3. 考察:そもそも宇宙空間の軌道上での戦闘とは?
これだけ書いてから難だが、改めて軌道上での戦闘についてそもそもの考察を書き下しておく。
l 軌道上では、戦闘宇宙機からスペースコロニーに至るまで、静止しているものは1つも無い。そのため地上で使うような純粋な“スピード”の概念自体が意味を持たない。
l 軌道上で加速を行わないことは地上で言えば自由落下するのと同じであり、未来位置がほぼ推定できる。弾頭を指定した時間に指定した位置にさえ飛ばせれば、中る。
l これを避けるには、戦闘中は常時、それも方向を乱数的に変え続けながら加速を行わなければならない。
l よって本記事のように、無加速の円/楕円軌道や双曲線軌道に載っている事は戦闘中あり得ない。
l 軌道上で先行する相手に追いつくには、取るべき選択肢は大きく2つ。
Ø 一度加速し、本記事の追撃機のように標的機より外側の軌道に遷移する。その後急減速をかけて、標的機の軌道と交差できる内向き軌道へと遷移する。
Ø 一度減速し、標的機よりも周期が短い軌道に遷移する。その後急加速して、標的機の軌道と交差できる外向き軌道へと遷移する。
l 上記から、軌道戦闘で最重要なのは軌道を遷移させる加速度。
l 索敵・追尾システムは、探知、解析した対象物の位置・速度・加速度から、交差軌道に乗るまでの時間を推算して表示するのではないか?
l 「3倍のスピードで接近」はその推定時間、もしくは画面上の「未来軌道予測の線」の動き、が3倍速く動いている、という意味なのではないか?
Figure 12
l [参考]SC 4D Orbit Viewer
Figure 13
1.4. 次に行いたい事
l 加速をかける事による軌道遷移、軌道交差のシナリオのシミュレーション。
l どのような加速運動を行うと「3倍速く軌道交差できるか」の解明。
1.5. 余談 – 軌道力学、軌道上の運動を一般化、コンポーネント出来たという事は? –
l コンポーネントを組み合わせる事で、複数天体の重力から影響を受ける宇宙機の運動、3体問題をシミュレーションできる。
l つまり、アポロ宇宙船の軌道や、スペースコロニーの運動シミュレーションが容易に可能になった。
[End of article]




コメント